LOGIN
JOIN
HOME > 베다니 소식
총 게시물 253건, 최근 1 건
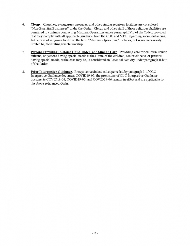
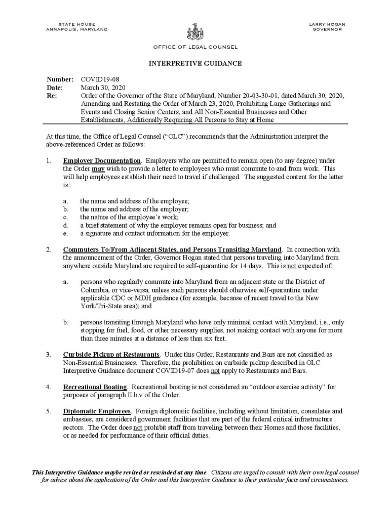
주정부 가이드 라인(인터넷 중계 예배, 드라이브인 예배)
글쓴이 :
베다니 한인교회
날짜 :
2020-04-03 (금) 15:18
조회 :
1222
.
베다니 한인교회
2020-04-03 (금) 15:20
혹시 드라이브인 예배에 참석하시기 위해 교회로 오실 때나
예배 후 집으로 돌아가실 때, 경찰에 의해 제지를 당하게 될 경우,
위의 문서를 보여주시면서, 드라이브인 예배에 대해 언급해 주시면 됩니다.
댓글주소
혹시 드라이브인 예배에 참석하시기 위해 교회로 오실 때나 예배 후 집으로 돌아가실 때, 경찰에 의해 제지를 당하게 될 경우, 위의 문서를 보여주시면서, 드라이브인 예배에 대해 언급해 주시면 됩니다.
온라인카지노주소
호카지노
오리엔탈카지노
마이다스카지노
블랙잭
룰렛
밤툰 - 100% 무료웹툰